Featuring eXtreme croquet and eXtreme croquet mallets.
Dedicated to enjoying eXtreme croquet, nature, and the near-death experience!™

extremecroquet.org

Home

Introduction

Playing eXtreme Croquet

Rules

Gallery

Articles

Croquet Mallets

Society News

Contact Us

Links




Site Map





Legal





Contact


Quantum Physics Made Easy What?

We ran across three articles by Physicist and avid croquet afficionado Sam Tudor, from Essex, UK, who "explains" physics through the most "unlikeliest" of examples - croquet.  They definitely fall under the "I didn't know that!" catagory ... somehow, I must have missed most of this stuff in school.  Read on !!!



Colour Forces and Anti-Colours

The Uncertainty Principle

Particle/Wave Duality




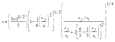
Plastic Collision Model by Thornton

Plastic collision deformation model by C. Thornton (1997)

WebMaster     




Home | Intro | Playing | Rules | Gallery | Articles | Mallets | News | Contact | Links




Copyright © 2000 - 2020 by
Connecticut eXtreme Croquet Society

All rights reserved

ccf Web Designs